Predicting 5-year survival after kidney transplantation in Colombia
Laura Niño Torres1, Andrea Garcia Lopez1, Nasly Patiño Jaramillo1, Fernando Giron Luque1, Alejandro Nino-Murcia1.
1Bogota D.C, Colombiana de Trasplantes, Bogota, Colombia
Introduction: Kidney transplantation is the gold standard treatment for end stage kidney disease (ESKD) with a significant impact on morbidity and mortality. Given organ shortages and limited resources it is important to focus on improving graft and patient survival. Post-transplant success is influenced by a complex relationship between donor and recipient characteristics which necessitated the development of a tool to individualize decision-making for clinical kidney offers. Survival benefit is estimated by comparing the predictive survival of the patient with transplantation versus the predictive survival of remaining on the waiting list. It involves two previous indexes, the Kidney Donor Profile Index (KDPI) which focused on the kidney graft quality and the Estimated Post Transplant Survival (EPTS) which evaluates the recipient. This tool was developed in the United States and was used it to evaluate the predicting survival benefit after deceased-donor kidney transplantation in Colombia.
Method: Retrospective historic cohort study which included al the adult deceased-donor kidney transplant patients between January 2009 and December 2021. A descriptive analysis of clinical and sociodemographic characteristics, including KDPI and EPTS was performed. The online tool was used to calculate the estimated-5 year predicting survival benefit for each patient. This will later be compared to graft survival and patient mortality for our population.
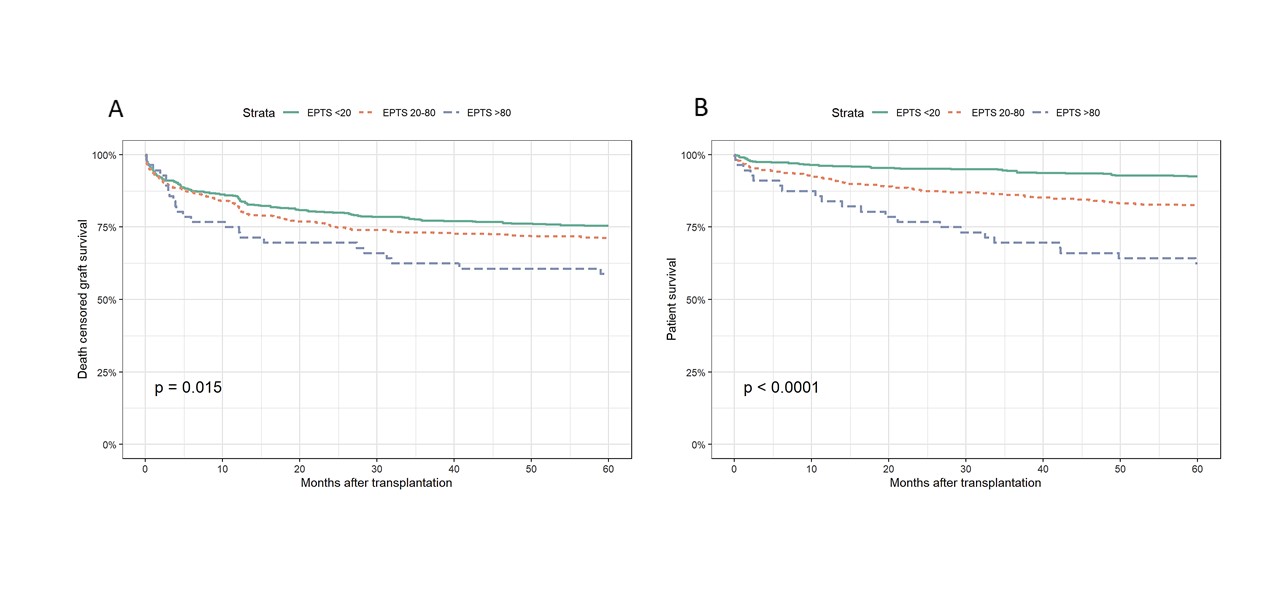
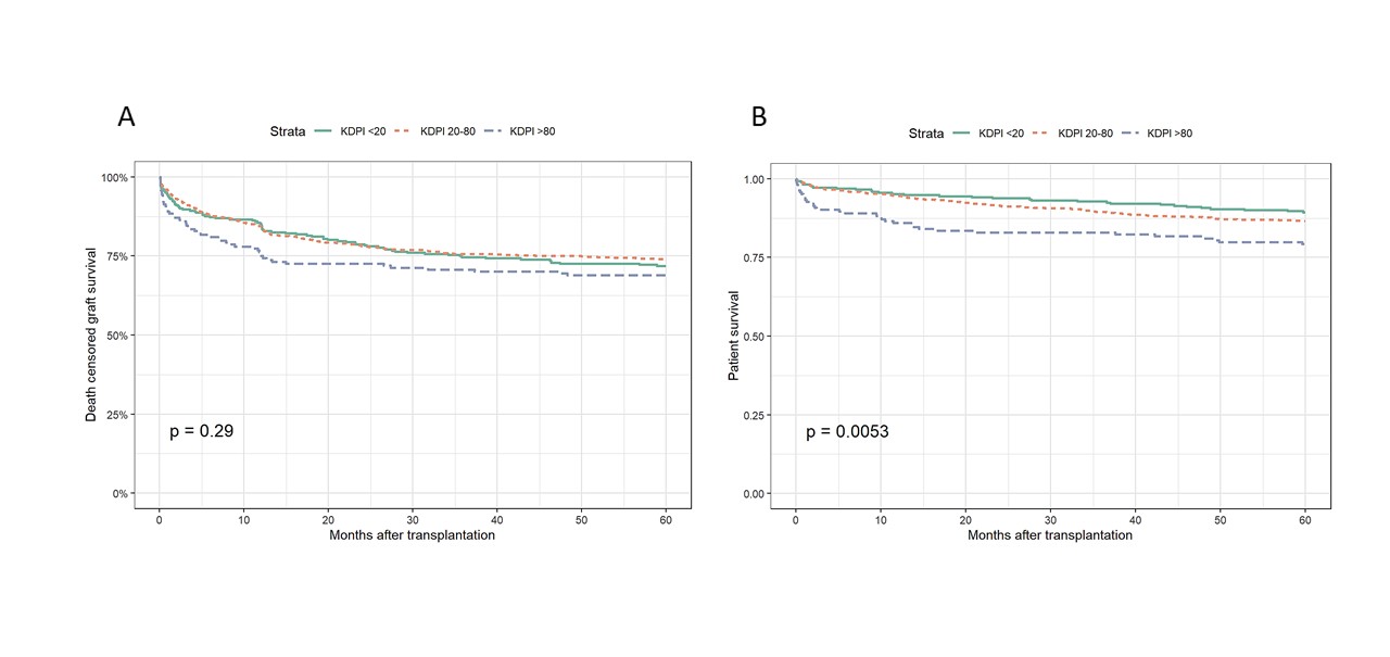
Results: Out of 1235 kidney transplant patients in the period evaluated, 1145 patients had complete information (92.7%). 60.3% were male, with a mean age of 46.2 years (± 12.6). 17.1% were diabetic and had been in dialysis for 44.8 months (±44.0), 58.3% in hemodialysis. Only 4.2% were preemptive. 6.7% had a previous transplant and 1.0% had 2. EPTS was 29.1% (±24.1), only 4.9% over 80%. Chronic kidney disease etiology as unknow for 35.3%. Donors were 42.7 years old (±15), predominantly male (60.8%), and average BMI of 25.5 kg/m2 (±4.98). 75.5% were non-hypertensive and 96.2% were non-diabetic, with cerebrovascular disease as cause of death (50.3%), mean creatinine was 0.98 mg/dl (±0.45). KDPI was 44.9% (±27.9%), 60.2% in between 20 and 80%. Predictive survival for patients if they were to remain waitlisted for 5 years was 70.6%, if they were to receive the transplant was of 89.3%, which results in a survival benefit of 18.7% for our population. Graft survival at 5 years was 72.7% and patient survival was 86.3%.



Conclusion: Survival benefit for patients with ESKD has been well documented in literature. Nevertheless, this study reflects the survival benefit for our specific population in Colombia, regarding both donor and recipient characteristics. This tool may be crucial for patient counseling and physician decision making patient tailored.

right-click to download