Risk factors for urologic complications after kidney transplantation and impact in graft survival
Laura Niño Torres1, Andrea Garcia Lopez1, Nasly Patiño Jaramillo1, Fernando Giron Luque1, Alejandro Niño Murcia1.
1Bogota D.C, Colombiana de Trasplantes, Bogota, Colombia
Introduction: Kidney transplantation (KT) is the best therapy for chronic kidney disease (CKD). The second most common etiology associated with morbidity and graft loss after KT are major urologic complications (MUCs). The advancement and modifications of surgical techniques have prevented MUCs. The objective of this study is to estimate the incidence, risk factors, and impact on graft survival associated with urological complications in KT patients.
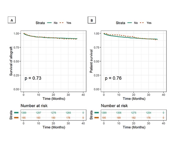
Methods: A retrospective cohort was obtained by electronic records of kidney transplant recipients operated in Colombiana de Trasplantes for the period between August 2008 to September 2019. Initiation of follow-up was defined as the date of transplantation up to 3 years post-transplantation. Incidence of ureteral stenosis, ureteral obstruction, and ureteral leak was measured. A logistic regression multivariate model was adjusted to determine the associated factors to MUCs (yes/no). Patient and graft survival time were analyzed using a Kaplan-Meier methods.
Results: A total of 1584 KT patients were analyzed during the study period. MUCs were present in 195 (12.6%) of the KT patients. Dialysis duration, cold ischemia time, and operation room time (ORT) were significant in the bivariate analysis. A multivariate analysis indicated that dialysis duration and cold ischemia time remained significant for the incidence of MUCs. Probability of graft and patient survival at 3 years of follow-up was 90.5% and 85.5% respectively. No significant difference was found on graft and patient survival in KT patients with or without MUCs.


Conclusion: MUCs are frequent complications for KT and represent an important burden for the patient and the health system. Our study has shown no significant difference in graft or patient survival. The identification of MUCs and risk factors may guide transplant teams for future surgical and clinical decisions.

right-click to download