Differential control of systolic and diastolic blood pressure in renal transplant recipients
Ziad Arabi1,2,3, Mubarak Abdalla1,2,3, Elwaleed Elhassan1,2,3.
1Division of Nephrology, Department of Medicine, King Abdulaziz Medical City, Riyadh, Saudi Arabia; 2King Abdullah International Medical Research Center, Riyadh, Saudi Arabia; 3College of Medicine, King Saud Bin Abdulaziz University for Health Sciences, Riyadh, Saudi Arabia
Background: Differential control of systolic and diastolic blood pressure is well documented in the treatment of hypertension in general population1- 2 but there is limited data in renal transplant recipients.
Method: A single center retrospective study of the renal transplant recipients who underwent kidney transplantation between January 2017 to May 2020 with12 months follow up. We reviewed BP readings before transplant and at one month, 6 months, 12 months after kidney transplantation. We also reviewed the number of BP medications at the same intervals post transplantation. BP goal was <140/90. during the time of this retrospective study as per the published guidelines3.
Results:



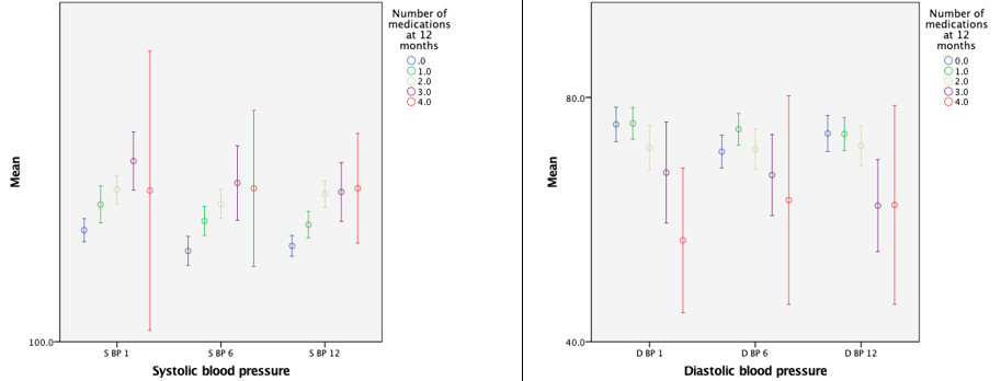
Conclusion: Diastolic blood pressure seemed much easier to control than systolic BP in the first year and it required significantly less number of medications to control. A metanalysis will be helpful to confirm this interesting observation.
References:
1. Lloyd-Jones DM, el. al, Differential Control of Systolic and Diastolic Blood Pressure. Hypertension. 2000;36(4):594-599.
2. Ayodele OE, el. al, Differential control of systolic and diastolic blood pressure in blacks with essential hypertension. J Natl Med Assoc. 2004;96(3):310-314.
3. Taler SJ, et al. KDOQI US commentary on the 2012 KDIGO clinical practice guideline for management of blood pressure in CKD. Am J Kidney Dis. 2013;62(2):201-213.

right-click to download